Cup Of Tea Cp Pdf
Ninja Hot Cold 10 Cup Coffee Maker Black Stainless Steel Cp301 Best Buy
Black Decker Cm3005s Stainless Steel 12 Cup Tea And Coffeemaker Newegg Com
Amazon Com Adcraft Cp 100 100 Cup Coffee Percolator Electric Coffee Percolators Kitchen Dining
How To Make Charcoal Facial Soap Soap Queen
Mes Fiches Abc Du Bac Mathematiques 2de Pdf Complete Halebryant
Cp Surfaces Black Paper Annkullberg Com
User Login 7 Cups
Openresearch Repository Anu Edu Au Bitstream 15 4 B Ramanujam Prathap Pdf
Cherry Blossoms Teacup Coloring Page Pdf Etsy
Reel Time Tea Time Quilt Free Pdf Pattern Fat Quarter Shop
255 Crochet Pattern Chicken Decor Potholder Or Decorative Pillow Amigurumi Pdf File By Zabelina Cp
Micro Cornucopia 27 Dec85 Pdf
Toxicological Effects Of Camellia Sinensis Green Tea A Review Bedrood 18 Phytotherapy Research Wiley Online Library
Openresearch Repository Anu Edu Au Bitstream 15 4 B Ramanujam Prathap Pdf
Toxicological Effects Of Camellia Sinensis Green Tea A Review Bedrood 18 Phytotherapy Research Wiley Online Library
Kitchensmith By Bella Electric Tea Kettle Black Target
Www Fda Gov Media Download
Pdf Effect Of Caffeine On Human Health
051 Crochet Pattern Chickens Potholder Or Decor Amigurumi Pdf File By Zabelina Cp
14 Oz Compostable Cold Cup Pla Custom Printed
Kitchenaid Glass Tea Kettle Bed Bath Beyond
Free Beginner S Guide To Soapmaking Cold Process Soap Queen
Tea Coffee Caffeine Intake And The Risk Of Cardio Metabolic Outcomes Findings From A Population With Low Coffee And High Tea Consumption Springerlink
Lemon Tea Recipe Step By Step Video Whiskaffair
Pdf Green Tea And The Skin Stephen Hsu Academia Edu
Aicok Portable Coffee Maker
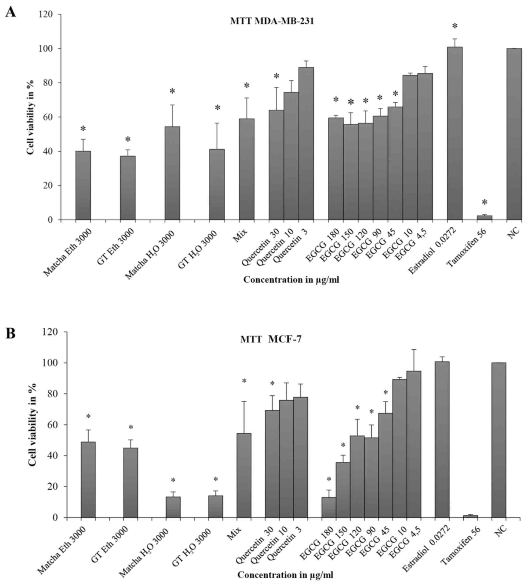
Effects Of Green Tea Matcha Tea And Their Components Epigallocatechin Gallate And Quercetin On Mcf 7 And Mda Mb 231 Breast Carcinoma Cells Corrigendum In 10 32 Or 19 7430
The Safety Of Green Tea And Green Tea Extract Consumption In Adults Results Of A Systematic Review Sciencedirect
Hot Spiced Tea Tang Based Aka Russian Tea Recipe Food Com
Keurig K1500 Singlesrv Commercial Coffeemaker Office Depot
Pdf Catechin Content Of 18 Teas And A Green Tea Extract Supplement Correlates With The Antioxidant Capacity
Openresearch Repository Anu Edu Au Bitstream 15 4 B Ramanujam Prathap Pdf
Cup Of Tea Cp Cycle 2 Livre Eleve Ed 13 Grand Format Relie Hachette Education Enseignants
Download Pdf Three Cups Of Tea One Man 039 S Mission To Promote Peace One School At A Time Epub
Cp Cats A Complete Guide To Wild Domestic Cats In Colored Pencil Annkullberg Com
Bosch Stainless Steel Residential Combination Coffee Maker In The Coffee Makers Department At Lowes Com
Amazon Com Adcraft Cp 100 100 Cup Coffee Percolator Electric Coffee Percolators Kitchen Dining
International Eng Catalogue Carci Pdf Catalogs Technical Documentation
Mon Cahier De Francais 6e Manuel Eleve Pdf Epub Halebryant
Keurig Mini Black Single Serve Coffee Maker In The Single Serve Coffee Makers Department At Lowes Com
Pin On Crochet Tejidos Divinos
Effects Of Green Tea Matcha Tea And Their Components Epigallocatechin Gallate And Quercetin On Mcf 7 And Mda Mb 231 Breast Carcinoma Cells Corrigendum In 10 32 Or 19 7430
051 Crochet Pattern Chickens Potholder Or Decor Amigurumi Pdf File By Zabelina Cp
2
Cup Of Tea Cp Cycle 2 Livre Eleve Ed 13 Grand Format Relie Hachette Education Enseignants
Kitchensmith By Bella Electric Tea Kettle Black Target
Pdf Safety Assessment Of Green Tea Based Beverages And Dried Green Tea Extracts As Nutritional Supplements
Cup Of Tea Cp Cycle 2 Livre Eleve Ed 13 Grand Format Relie Hachette Education Enseignants
Black Decker 12 Cup Programmable Coffeemaker White Cm1160w Walmart Com Walmart Com
Www Cir Safety Org Sites Default Files Camell 0314 Rep Pdf
Stcp 26 Oz Clear Cup
Keurig K1500 Singlesrv Commercial Coffeemaker Office Depot
Keurig K1500 Singlesrv Commercial Coffeemaker Office Depot
General Chemistry Ii Textbook Pdf Napa Valley College
Usgb0 Fwgbxi1m
Tea Consent Clean Youtube
Read Methode De Lecture Cp Cycle 2 Livret 1 Online Halebryant
Pdf Green Tea Antioxidant Effects And Its Ameliorative Role Against Many Diseases
Aci Concrete Strength Testing Technician Workbook Cp 19 23rd Ed Ohio Concrete
Coffee Tea And Caffeine Consumption And Risk Of Primary Infertility In Women A Danish Cohort Study I Soylu 18 Acta Obstetricia Et Gynecologica Scandinavica Wiley Online Library
Impact Of Caffeine And Coffee On Our Health Pdf Download Free
Pdf Green Tea Camellia Sinensis And Its Antioxidant Property A Review
Chai Piyenge A Tiny Storm In Your Tea Cup
Pdf Green Tea The Plants Processing Manufacturing And Production
Pdf Narrative Techniques And Characterisation In Katherine Mansfield S A Cup Of Tea Smart M O V E S J O U R N A L Ijellh Academia Edu
8 Crochet Patterns Yacht Decor Or Potholders Amigurumi Pdf File By Zabelina Cp
Amazon Com Ninja Hot And Cold Brewed System Auto Iq Tea And Coffee Maker With 6 Brew Sizes 5 Brew Styles Frother Coffee Tea Baskets With Glass Carafe Cp301 Kitchen Dining
Pdf Tea Coffee Caffeine Intake And The Risk Of Cardio Metabolic Outcomes Findings From A Population With Low Coffee And High Tea Consumption
Pdf Antiproliferative Effect From The Mexican Poleo Hedeoma Drummondii Ezequiel Viveros Valdez Academia Edu
Stacked Teacups Coloring Page Pdf Etsy
Pdf Eryngium Heterophyllum And Amphipterygium Adstringens Tea Effect On Triglyceride Levels A Clinical Trial
Breville The Tea Maker Compact Bed Bath Beyond
How To Make Charcoal Facial Soap Soap Queen
Why You Should Eat Instead Of Drink Green Tea Leaves Elevays
Pdf Green Tea Phytocompounds As Anticancer A Review
070 Crochet Pattern Sweet Peppers Potholder Or Decor Amigurumi Pdf File By Zabelina Cp
A Cup Of Tea Pdf Free Download
The Safety Of Green Tea And Green Tea Extract Consumption In Adults Results Of A Systematic Review Sciencedirect
Q Tbn And9gcrkag7z Zwrvg0azk 601klk7nyyrfwkrvkvyzzzsjoftfnpcqt Usqp Cau
255 Crochet Pattern Chicken Decor Potholder Or Decorative Pillow Amigurumi Pdf File By Zabelina Cp
Fry S Electronics
Download Pdf Three Cups Of Tea One Man 039 S Mission To Promote Peace One School At A Time Epub
Pdf Caffeine Content Of Brewed Teas
Effects Of Green Tea Matcha Tea And Their Components Epigallocatechin Gallate And Quercetin On Mcf 7 And Mda Mb 231 Breast Carcinoma Cells Corrigendum In 10 32 Or 19 7430
Eos Lip Balm Holder Cup Of Tea Coffee Instant Download Crochet Pattern Lip Balm Holder Crochet Keychain Eos Lip Balm
Pdf A Bitter Cup Of Tea
Http Www Ucjf Troja Mff Cuni Cz Dolejsi Outreach Sedlacek Ajp Pdf
Openresearch Repository Anu Edu Au Bitstream 15 4 B Ramanujam Prathap Pdf
Onlinelibrary Wiley Com Doi Pdf 10 1002
Free Beginner S Guide To Soapmaking Cold Process Soap Queen
Aide Au Diagnostic En Medecine Generale Examens Et Algorithmes Decisionnels Pdf Download Neojoseph
Keurig K1500 Singlesrv Commercial Coffeemaker Office Depot
Openresearch Repository Anu Edu Au Bitstream 15 4 B Ramanujam Prathap Pdf
How To Make Charcoal Facial Soap Soap Queen
Pdf Managing Hr For Business Success On Cp Bangladesh Co Ltd Ahamudul Rahi Academia Edu
The Safety Of Green Tea And Green Tea Extract Consumption In Adults Results Of A Systematic Review Sciencedirect
How To Trade The Cup And Handle Chart Pattern
Www Apnamba Com Ebooks Pdf Mortenson Greg Three Cups Of Tea Pdf
Wnk Catalogue Pages 51 75 Flip Pdf Download Fliphtml5
The Safety Of Green Tea And Green Tea Extract Consumption In Adults Results Of A Systematic Review Sciencedirect
Kitchenaid Silver 24 Cup Digital Electric Kettle In The Water Boilers Kettles Department At Lowes Com


