Bilan Cpc
Mise En Conformite Module Finance Maroc
1 Free Magazines From Facecomedia Files Wordpress Com
Bilan Et Cpc Cours Bilan Comptable Capitaux Propres
Concepts De Base De La Comptabilit Generale Bilan Comptable Comptabilite
Journal Balance Bilan Cpc
Exercice Comptabilite Generale S1 Application Bilan Journal Grand Livre Balance Et Bilan Final Youtube
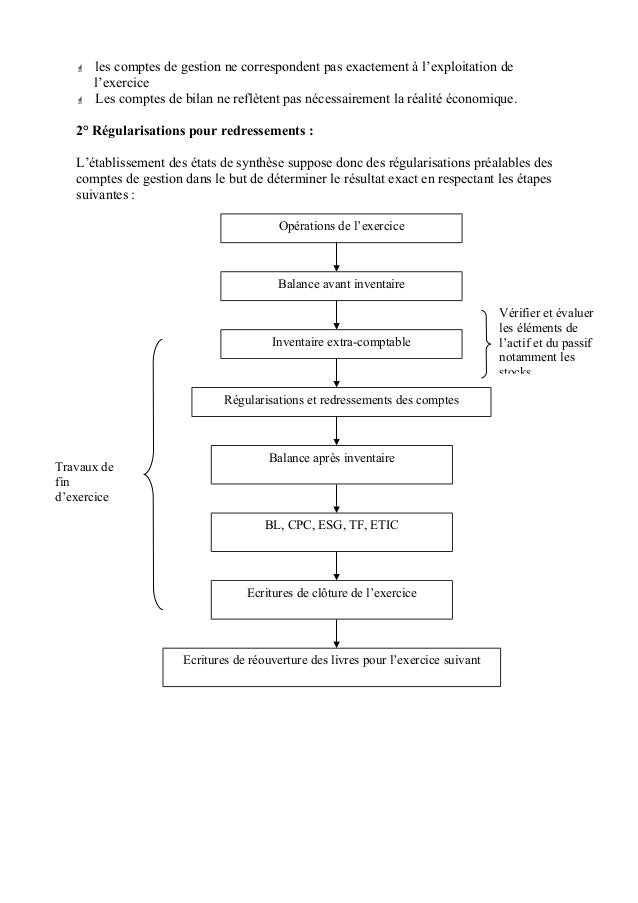
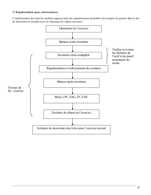
Cours comptabilité générale :.
Bilan cpc. Le bilan retrace la situation patrimoniale d’une entreprise à une date donnée. Le bilan de compétences permet d’élaborer votre parcours de formation et surtout d’en aborder tous les aspects pour faire les bons choix. O Scribd é o maior site social de leitura e publicação do mundo.
Use the mouse to click on a country/region or choose the. L'ensemble de comptes en T ou schématique d'une entreprise constitue le grand livre. This list is not exhaustive and may be missing teams from certain leagues and years or with a small number of games played.
La notion d'équilibre financier CHAPITRE III :. HOME > Monitoring and Data > Global Climate Data & Maps > Global Regional Climate Maps:. Exercice corrigé compte de produits et charges CPC selon les normes de comptable marocain.C.P.C déterminer le résultat net de l'exercice exercices corrigés cpc maroc pdf.
ANALYSE DE L’ACTIVITE ET APPRECIATION DES PERFORMANCES DE L’ENTREPRISE I. Un bilan de compétences vous permettra d’élaborer un plan d’action à court et moyen termes afin de sécuriser votre projet d’évolution professionnelle. Hazards Assessment and Drought Assessment.
CPC COTENTIN, Société par action simplifiées au capital de 668 572€, a débuté son activité en janvier 19. Groupe WhatsApp Comptabilité générale 1:. Bilan au 31/12/09 ACTIF Montant brut.
Les retraitements des postes du cpc ii. Ces modèles de bilan et compte de résultat pour association sur Excel fonctionnent sur toutes les versions d’Excel depuis Excel 07. BILAN DE 1ère INTENTION Biologie Imagerie EPP – GAJ – Pu des 24h – ECBU – Cytologie U Echographie réno-vésicale STADE Stade Degré d’insuffisance rénale DFG 1 Maladie rénale chronique – Fonction rénale normale > 90 2 Légère 60 – 90 3 Modérée 30 – 60 4 Sévère 16 – 30 5 Terminale < 15.
0 0 voto positivo, Marque este documento como útil 0 0 voto negativo, Marcar este documento como inútil Incorporar. Toute banque doit satisfaire aux conditions fondamentales suivantes. Ecole Nationale Supérieure d'Arts et Métiers de Meknès;.
Salvar Salvar Bilan Et Cpc Banque Populaire para ler mais tarde. Abonnez-vous à la chaîne en cliquant sur S'abonner (juste au-dessus ↑) puis sur la à côté pour ne rater aucune vidéo YOUTUBE :. On utilise le " compte en T " ou " compte schématique " pour faciliter la compréhension et l'apprentissage de la comptabilité.
Analyse financière, S4, Contrôle en Analyse financière :. Analyse de l’activite et appreciation des performances de l’entreprise i. Comptabilité et Mathématiques Financières:.
2ème BAC Sciences Économiques, AlloSchool. Est président de la société CPC COTENTIN. L’approche financiere chapitre iii :.
Patches have to be deployed to fix vulnerabilities in products and the;. Exemple de feuille de calcul prête à l'emploi :. I - Étude descriptive du bilan comptable ii.
A la fin de l'exercice comptable, le chef d'entreprise dispose de deux documents essentiels à la prise de décision et qui synthétise l'exercice comptable éco. Le bilan liquidité 2. View Practice_Test_Language__Reading_Comprehension.pdf from CIS MISC at Ecole Nationale Supérieure d'Arts et Métiers de Meknès.
Analyse du bilan, Analyse comptable - Exercices corrigés, Comptabilité et Mathématiques financières :. Page facebook :. Profit and Loss Format 1 ;.
The Monthly regional analyses products are usually updated around the middle of each month. Exercice Corrigé Le Bilan ||Ex n°1|| On vous fournit les données de l’entreprise «ASSA» au 05 Janvier 15 (la date de sa création) Elle possède un fond commercial pour 80.000dhs , un local pour 450.000dhs dont valeur du terrain 250.000dhs, des machines industrielles pour 360.000dhs, deux camions pour 1.000dhs chacun, trois voitures pour 70.000dhs chacune. Declaration of contributes (Online).
Anterior no carrossel Próximo no carrossel. « Toute personne physique ou morale ayant la qualité de commerçant … doit établir des comptes annuels à la clôture de l’exercice au vu des enregistrements comptables et de l’inventaire. Le 31/12/00, le cumul des charges et des produits de l’entreprise DAHMANE dégage les soldes suivantes :.
Analyse Financiére Bilan Cpc Et Caf Page 22 sur 22 - Environ 215 essais Règlement des marchés ep mots | 144 pages des contrats écrits dont les cahiers des charges précisent les conditions dans lesquelles les marchés sont exécutés. COMPAGNIE POUR LA COMMUNICATION SA - C.P.C. Cet article propose en détaille un modèle sur le compte de résultat prévisionnel sous Excel, exemple professionnel et efficace à télécharger gratuitement.
The starting point for the Climate Prediction Center, the home of the official U.S. Téléchargez ce tableau sous format Excel (.xls), et complétez-le avec vos informations spécifiques. Payroll E-SIG 025/a ;.
The 3-Month regional analyses products are usually updated around the middle of each month. La liasse fiscale, qui est produite annuellement par toutes les entreprises, se présente en deux grandes parties à savoir les états financiers (bilan. The Climate Prediction Center (CPC) concluded that the odds of a warmer-than-average winter were higher than a near-average or colder-than-average winter over the entire country save for the East Coast and the Southeast, where there was an equal.
A world leader in gases, technologies and services for Industry and Health, Air Liquide is present in 80 countries with approximately 67,000 employees and serves more than 3.7 million customers and patients. The Winter Outlook issued on November 15, 18*, for December-February was one that tilted towards the warm side (1). En détail les redressements se présentent comme suit:.
Le siège social de cette entreprise est actuellement situé Zone Industrielle de la Canurie - La haye CPC COTENTIN évolue sur le secteur d'activité :. 1er BAC Sciences Economiques et Gestion, AlloSchool. Exercices Corrigés Comptabilité générale CPC EXERCICE 1 :.
Https://urlz.fr/9w4B BIENVENUE Dans la FAMILLE des futures. HOME > Monitoring & Data > Global Climate Data > Global Regional Climate Maps > Europe :. Bilan,CPC et États de synthèse Costing COMPTABLE CONFIRME SEWS MAROC مايو 13 - سبتمبر 16 3 من الأعوام 5 شهور.
Cours, Exercices corrigés, Examens - AlloSchool, Votre école sur internet. Exercice Corrigé | Cahier de produits et charges (CPC) 02:59:00 On vous communique les éléments constitutifs du résultat suivants et on vous demande d’établir le compte de produits et charges et de déter. L’etat des soldes de gestion et le tableau de formation du resultat iii.
KENITRA Tenue de la comptabilité générale (dès la réception des documents jusqu’à le classement et l’archivage). Les cahiers des charges comprennent les cahiers des clauses administratives générales (CCAG), les. Les Questions Clés de l'Audit Financier.
1-Elimination des immobilisations en non valeurs:. Mai 10 Durée :2H La société « AJAXIO » qui est spécialisée dans la fabrication et la commercialisation de vêtements, met à votre disposition le bilan et le CPC de l’année 09, ainsi qu’un certain nombre d’informations complémentaires en vue de faire un diagnostic financier. Ceci est de même pour les opérations de banque.
18 Corporate Software 49 Modifiez une requête Ouvrez un document Web;. Article L 123-12 du Code de Commerce :. - les comptes schématiques - la balance après inventaire - le Bilan et le CPC dans le cas d.
Chaque opération effectuée entraîne une modification du bilan, certaines opérations modifient le bilan sans modifier la situation de l’entreprise par contre d’autres opérations entraînent un changement du patrimoine de l’entreprise dû à un résultat. 1er BAC Sciences Economiques et Gestion. CIS MISC - Fall 19.
LE BILAN ET LE CPC TECHNIQUE DE LA COMPTABILITE GENERALE L’ORGANISATION COMPTABLE LA FACTURATION :. Notions du bilan et de CPC Chapitre 1 – Les états de solde de gestion Définition des différents soldes du TFR Exercices Le tableau de la CAF Exercices Retraitements Etude de cas Les Ratios de gestion Interprétation Exercices Chapitre 2 – Le bilan fonctionnel et passage du bilan comptable au bilan financier Rappel du bilan comptable Bilan fonctionnel et ses grandes masses (fonds de. We list 35,000+ teams from Negro League, Japanese league, and minor league history.
Vous trouverez ici des explications pour savoir comment établir :. Cash Flow - Direct Method ;. Le bilan fonctionnel 2- Les indicateurs d’équilibre fonctionnel III.
Academia.edu is a platform for academics to share research papers. Le passage du bilan comptable au bilan financier nécessite d'effectuer différents reclassements avant de grouper les postes de l'actif et du passif en masses homogènes Ayant pour objectif l'évaluation du patrimoine réel de l'entreprise, l'analyse part du bilan après affectation du résultat et travaille sur des valeurs nettes après déduction des amortissements et des provisions pour dépréciation. Le Bilan, Cours, Comptabilité et Mathématiques Financières:.
Academia.edu is a platform for academics to share research papers. El Nino/La Nina Advisories, U.S. LES RETRAITEMENTS DES POSTES DU CPC 1.
Starting off with temperature. - A tenir compte de virement de certains poste du bilan dans le CPC, - A séparer les opérations à moins d’un an de celles à plus d’un an. Lien de téléchargement du Bulletin Officiel N° 41 bis du 5 REJEB 1413 (30/12/1992) contenant ladite loi et les tableaux annexes.
A cet effet,le bilan et le CPC constituent la source d’information incontournable, pour les entreprises industrielles et commerciales, c’est pour cela qu’on leurs attribuent une réglementation comptable poussée. These analyses are based on preliminary and unchecked data.
Module 05 Tsge Concepts De Base De La Comptabilite Generale Ofppt By Semmah El Issuu
Les Cours Deko La Comptabilite Generale Bilan Cpc Et Plan Comptable Youtube
Bilan Et Cpc Www Edemia Education
Logiciel De Comptabilite Marocain Bilan Grand Livre Et Cpc Youtube
Comptabilite General S1
Comptabilite Et Gestion Posts Facebook
Calameo Manuel De Puissance En Comptabilite Generale
Comptabilite Generale Cpc La Comptabilite Et Le Plan Comptable General
Relation Entre Bilan Et Cpc Youtube
Bilan Et Cpc Anime Bilan Comptable Capitaux Propres
Ppt Institut Superieur Du Genie Applique Iga Powerpoint Presentation Id
A Sm Home Facebook
Determination Du Resultat De L Exercice Exercices Corrige
Analyse Des Etats Financiers Des Compagnies D Assurance Anouar Elka
Cours De Comptabilite Generale Travaux De Fin D Exercice
Formule De Coherence Entre Le Bilan Cpc La Balance Mohamed Chorfi Formation
Plan Comptable Generale Des Entreprises
Comptabilite Generale Bilan Cpc Comptabilite Bilan Comptable
Cours Bilan Comptable Comptabilite Generale S1 Pdf Fsjes Cours
Analyse Des Etats Financiers Bancaires Anouar Elka
Le Journal Le Grand Livre La Balance Le Cpc Technicien Comptable D Entreprises Tce Ista Cite De L Air El Jadida
Comptes Consolides Le Traitement Des Interets Minoritaires Negatifs En Norme Francaise Audit Systemes D Information
Mise En Conformite Module Finance Maroc
Exercices Corriges Comptabilite Generale Cpc Cours Fsjes
Http Www Ests Um5 Ac Ma Cours Dipl C3 B4me universitaire de technologie G C3 nie industriel et maintenance Semestre 02 Analyse financi C3 A8re Support Analyse financi C3 A8re Pdf
Les Comptes De Regularisation Docsity
Royaume Du Maroc Office De La Formation Professionnelle Et De La Promotion Du Travail Manuel De Travaux Pratiques Filiere T S C Pdf Telechargement Gratuit
Exercice Journal Balance Bilan Cpc Credit Finance Banques
Journal Balance Bilan Cpc
Comptes Schematiques Bilan Journal
Revision Generale Les Comptes Schematiques La Balance Apres Inventaire Le Bilan Et Le Cpc 1 2 Youtube
Bilan Et Cpc
Examen Comptabilite Generale Numero 2 Youtube
Analyse Financiere Analyse D Activite Et Des Performances De L Entreprise
Bilan Cpc Anime Bilan Comptable Passif Comptabilite
Bilan Comptable Pour Excel 1001tableurs Com
Pdf Cours Resume De Comptabilite Generale Formation Comptabilite
Bilan Et Cpc Immobilisations Capitaux Propres
Difference Entre Liasse Comptable Et Liasse Fiscale
Exercice Journal Balance Bilan Cpc La Societe Fac Eco Media
Inroduction A La Comptabilite Generale Ppt Telecharger
Journal Balance Bilan Cpc
Comptabilite General S1
Bilan Et Cpc Anime Bilan Comptable Capitaux Propres
La Variation Des Stocks Et Resultat
Etats De Synthese Au 31 Decembre 16
Bilan Massique Des Cristaux Cgc Cp Et Cpc En Fonction De La Download Scientific Diagram
Cours De Comptabilite Generale Balance Sheet Bilan
Comptabilite Generale S1 Application Bilan Journal Grand Livre Balance Et Bilan Final Youtube
Exercices Corriges Comptabilite Generale Cpc Cours Fsjes
Institut Superieur Du Genie Applique Iga Ppt Video Online Telecharger
Doc Correspondance Entre Bilan Fiscal Et Comptable Sophinette Kasbaouii Academia Edu
Une Relation Etroite Entre Bilan Et Compte De Resultat
Institut Superieur Du Genie Applique Iga Ppt Video Online Telecharger
Bilan Et Cpc Au Immobilisations Capitaux Propres
Bilan Et Cpc Comptabilite Et Gestion Facebook
Le Compte De Produits Et De Charges Cpc Senty Fenty
La Balance Le Bilan Le Cpc Seance 9 0 Comptabilite Generale 1 Youtube
Analyse Et Comprehension Du Bilan Comptable
Etats De Synthese Au 31 Decembre 16
Le Compte Des Produits Et Charges Cpc
Comptabilite S1 Le Bilan Youtube
Le Bilan Et Cpc Lancement D Une Entreprise Belqasim Elmamoun Belakhdim Mohammed Oussama Mimouni Karim Kharbach Bilan Comptable Comptabilite
Comptabilite Generale
Comptabilite Generale Cours Exercices Corriges
Le Bilan Le Cpc Et Le Fonctionnement Des Comptes مع شرح بالدارجة
Bilan Cpc Anime Bilan Comptable Passif Comptabilite
Comptabilite Generale Cpc La Comptabilite Et Le Plan Comptable General
Professeur De Comptabilite Generale Bilan Cpc 1111 Cours Particulier
La Comptabilite Generale Exercices De Journale Balance Et Grand Livre
Le Compte De Produits Et De Charges Cpc Senty Fenty
Professeur De Comptabilite Generale Bilan Cpc 1111 Cours Particulier
Liasse Fiscale Et Comptable Corporate Finance Cf401 Um5 Studocu
11 Exercices Corriges Sur Le Budget De Tresorerie Avec Rappel De Cours
Exercice Journal Balance Bilan Cpc La Societe Fac Eco Media
Exercices Corriges Comptabilite Generale Cpc Amine Nasrallah
Comptabilite Generale S1
Le Bilan Et Cpc Lancement D Une Entreprise Belqasim Elmamoun Belakhdim Mohammed Oussama Mimouni Karim Kharbach Bilan Comptable Comptabilite
Les Cours Deko La Comptabilite Generale Bilan Cpc Et Plan Comptable Youtube
Pdf Modele Bilan Cpc Maroc Ikram Kadiri Academia Edu
Le Compte De Produits Et Charges Cpc Cours De Comptabilite Generale Exercices Corriges Qcm Ebooks Cours De Comptabilite Generale Exercices Corriges Qcm Ebooks
Compte De Produits Et Charges Definition Cpc Fsjes Ofppt Cours
Mr Lakhouil Cours De Comptabilite Generale Doc
Journal Balance Bilan Cpc
Http Fsjes Agdal Um5 Ac Ma Sites Fsjes Agdal Um5 Ac Ma Files Compta ge C4 97ne C4 97 s1 partie1 Pdf
Les Etats De Synthese Bilan Cpc Esg Etic Et T F Youtube
Comptabilite Generale Cpc Exercice N 1 Youtube
Cours Et Exercices Sur Comptabilite Generale 111 Pages In
1 Free Magazines From Facecomedia Files Wordpress Com
Mise En Conformite Module Finance Maroc
Comptabilite Generale S1
Bilan Cpc Immobilisations Capitaux Propres
Le Cabinet Lamy Environnement Realise Un Bilan Carbone Multi Sites Pour Cpc Packaging Cabinet Lamy Environnement


