Encoder Cp
Fiches Autocorrectives Encodage Cp Ce1 Ocearmor Fr
Olflex Servo Fd 798cp 4x2x0 25 2x0 5 Lapp Screened
R6phfiikjhwnhm
Computer Optical Products Inc Cp 850 12gc S B Rotary Encoder Ebay
Computer Optical Products Cp 850 12gc S B Rotary Encoder Cp850 12gc S B Tested Inprosols Inc
Computer Optical Products Rotary Encoder Cp 850 384ld Cec 4494r Pzf Ebay
Media Encoder Deadline 9 0 12 0 Documentation
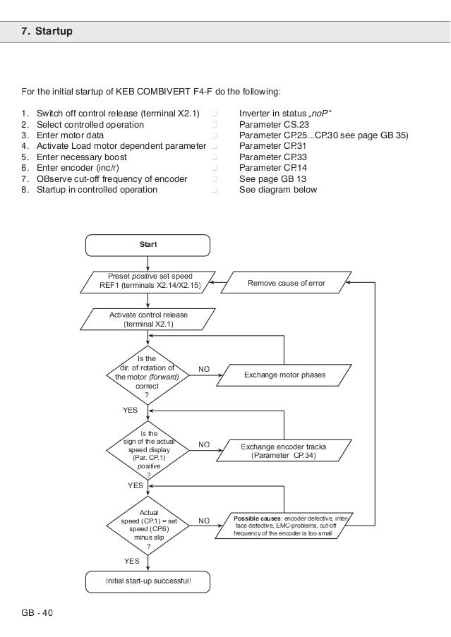
F4 F Instruction Manual
Eltra El Ef 49 C P Incremental Encoder Eltra Trade
Avy Kxx Cp Gefran United States Sales
Ndrive Cp Pwm Digital Amplifier Aerotech Inc
Parker Compumotor Lv232 02 Stepper Motor With Rotary Encoder New
Computer Optical Products Rotary Encoder Cp 850 384ld Cec 4494r Pzf Ebay
40 Cpr Quadrature Encoder Enc4109 0 At Phidgets
Cp 300 Series Housed Encoders
Cp A1 M Colour W Colour Rjs Electronics Ltd
Tableaux D Encodage Cp Zaubette
Digital Watchdog Dw Cp16 16 Channel Ip Signal Video Encoder
64 Ch Encoder व ड य एनक डर In Sakinaka Mumbai Hikma Technologies Id
Www Hidglobal Com Node
Tableaux D Encodage Au Cp La Maitresse Aime
L Usine A Mots Encodage Lutin Bazar
New Original Midori Precisions Cp 5uys Y04 5 Dual Axis Encoder In Japan Encoder Chip Encoder Icencoder Mpeg4 Aliexpress
Hid Cp1000 Iclass Se Encoder Smart Proximity Access Cards
Original Rotary Encoder Cp 555 1024 8 Ph3 28 Bargained
4 Ctc Encoder Used In Wimax And Dvb Rcs 8 State Double Binary Crsc Code Download Scientific Diagram
Cp 2uk R1 Encoder Buy Cp 2uk R1 Touch Screen Toyota Jat710 Product On Alibaba Com
Computer Optical Products Cp 860 600 F R Eit Roatary Encoder Shipsameday Ebay
Solved What Resolution Absolute Optical Encoder Is Needed Chegg Com
Active System Integration
Cp 800 Series Housed Encoders Manualzz
Carlen Controls Cc290t 3600 Ab Cp Encoder 0 rpm 5 30vdc Amazon Com Industrial Scientific
Vibe Cp9000 Video Streaming Contribution Harmonic
Used Midori Cp 5uys Y04 5 Japan Dual Double Shaft Encoder Switch Switches Aliexpress
Encoder Cp 2uk R2 Midori Precisions Mercado Libre
Buy N1 Video Encoder Dji Store
Datacard Sp Cp Series Card Printer Magnetic Encoder Original Cd800 Mag Head View Sp55 Magnetic Stripe Encoder Datacard Product Details From Huzhou Zhengqian Electronic Technology Co Ltd On Alibaba Com
Cp 0 Housed Modular Encoders
Tableaux D Encodage Cp Zaubette
Parker Cp 41 Sx106 178e Compumotor Servo Motor W Encoder 5 8 Shaft Bullseye Industrial Sales
Media Encoder Deadline 7 2 5 5 Documentation
Simple Not Encoder X86 Assembly Language And Shellcoding On Linux
Cp 300 Size 15 Encoder Power Supply Bit
Step7 Level 3
Clear Com 674g009 Volume Encoder For Cp 922a Full Compass Systems
Dtv Innovations
Panasonic Servo Motor Encoder Panasonic Servo Motor Encoder Manufacturers And Suppliers At Everychina Com
M Jpeg Encoder Application Model Vop An Sram And A Dram For These Download Scientific Diagram
Hp Designjet Cp Series Printers System Error Line Sensor On The Carriage Cannot Find The Mark Encoder
Iclass Se Smart Card Encoder Hid Global
J Ecris Seul Encodage En Cp Le Stylo De Vero
Pur Shielded Encoder Cable 4x2x0 25 Twisted Pair Damencnc B V
Midori Precisions
X265 Encoder 3 4 Free Download Videohelp
Thor 4x Hd Sdi Input Encoder Modulator Cp Communications
Amazon Com New Bei Hdb 39 Ss 50 Ab 24v 0c Sc18 Rotary Encoder 10mm Shaft Diameter Cp Everything Else
Encoders And Decoders Base64 Url Idn Cp Uu Xml Bin Hex
Yaskawa Ac Servo Motor W Encoder Cp 14a 33 J404a Sp Sgm A3lwg46 J316pl Vp Asp Shopping Cart 8 00
Knobs Cp Av Colour Rjs Electronics Ltd
Encoder Des Mots Au Cp Titline A L Ecole
Quadrature Encoder Phidget Enc1000 0 At Phidgets
Wmt 4k Encoder Used By Cp Communications For Ny Half Marathon Youtube
1 Pcs Rotary Encoder Koyo Trd 2t400bf 3m New Cp Ebay
Used Midori Cp 5uys Y04 5 Japan Dual Double Shaft Encoder Switch Aliexpress
Encoder Counter Robotics Hardware Store
Midori Precision Cp 4m 1k Encoder Motor Motionsurplus
Harmonic Vibe Cp6000 Encoder Planetcomm
Harmonic Vibe Cp3000 Encoder Planetcomm
J Ecris Seul Encodage En Cp Le Stylo De Vero
Mobile Viewpoint Agile Airlink Cp Communications
Dtv Innovations
Cp 2ukn A Series Midori Precisions
Eltra Encoder El 48 C P Eltra Trade
Cp 300 Series
Allied Motion Computer Optical Products Inc Encoder Cp 850 Hce 32k F A 295 00 Picclick
Computer Optical Products Cp 850 12gc S B Rotary Encoder Cp850 12gc S B Tested Inprosols Inc
Cp 45h Series Midori Precisions
Olflex Pur Encoder Cable Screened For Continuously Power Chain Use Ul Csa Awm
E6c3 A Slim Encoder With Diameter Of 50 Mm Dimensions Omron Industrial Automation
Absolute Linear Encoder Limax33 Cp Elgo Electronic Magnetic With Canopen Interface Ip54
Replacing One Of The Kx3 S Encoders Dl3tu
Optical Encoders Allied Motion
Clear Com 674g009 Volume Encoder For Cp 922a Full Compass Systems
Computer Optical Products Cp 850 12gc S B Rotary Encoder Cp850 12gc S B Tested Ebay
Nodemcu Rotary Encoder Demo Youtube
Cp Cable Protection Systems Johannes Hubner Giessen
Cp 500 Series Housed Encoder
Digital Watchdog Dw Cp04 4 Channel Ip Signal Video Encoder
Computer Optical Products Encoder Motor 1 4 25 Inch Cp 350 4096 T 5 1 4 Motor Engine Parts
Computer Optical Products Cp 550 48 Encoder 10bit Gray Code 1 5 Square Amazon Com Industrial Scientific
Cp 800 900 Series Housed Encoders
Cp 350 8an 4 ma 12vdc 8bit Encoder Cp350 8an 4 ma
Encoders Pca Encoders
Cp 2uk R1 Encoder
Optical Encoder Allied Motion
Computer Optical Products Cp 850 12gc S B Rotary Encoder Cp850 12gc S B Tested Inprosols Inc
Hall Effect Optical Encoder For Motor Feedback By Eltra
Harmonic Vibe Cp9000 Uhd Hd Contribution Encoder From Mhz
Structure Of Cpdist Cp Nets Are Provided To The Encoder As A Download Scientific Diagram
Cp Ue 01s Dvr Encoders व ड य एनक डर In Behala Kolkata Maa Durga Electronics Id


